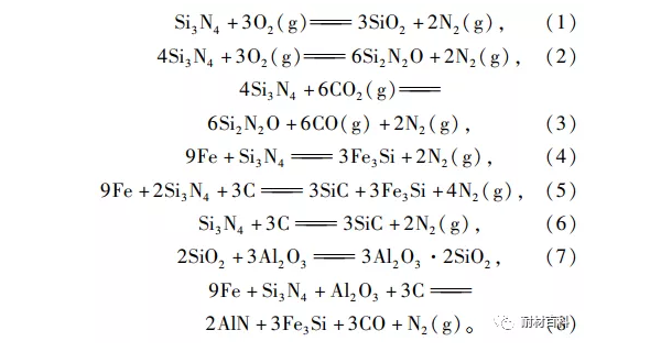
氮化硅铁都被用在了哪些耐火材料中,应如何使用?
更新时间:2020-08-31 关注:12173
山西晋东南神话新材料愿与各厂商共同开发
-
上一篇:氮化硅铁的相关信息!
广泛应用于陶瓷、耐火、钢铁冶金、有色冶炼、橡胶等行业。
欢迎电话详询,152-8696-6660 快速获取回复
更新时间:2020-08-31 关注:12173
山西晋东南神话新材料愿与各厂商共同开发
152-8696-6660
180-3720-9899
手机站